激光光学计量-江阴PA视讯光电技术有限公司
拨号18861759551

你的位置:首页 > 技术文章 > 激光光学计量

技术文章

激光光学计量

技术文章

激光光学计量

计量技术是确保光学组件始终满足其所需规格和并发挥作用的关键。这种可靠性对于使用大功率激光器或通量变化可能导致其性能不足的系统尤其重要。可采用各种计量技术测量激光光学元件,包括光腔衰荡光谱法、原子力显微镜、微分干涉差显微镜、干涉测量法、Shack-Hartmann波前传感器和分光光度计。

 

光腔衰荡光谱法

光腔衰荡光谱法 (CRDS) 是用于测定气体样品组成的技术,但在激光光学中用于测量光学镀膜的高灵敏度损耗。在 CRDS 系统中,激光脉冲被发送到由两个高反射镜包围的谐振腔中。在每次反射中,少量光被吸收、散射和透射,反射光则在谐振腔中继续振荡。反射镜后面的探测器测量反射光强度的下降(或“衰荡”),然后用于计算反射镜的损耗(图 1)。表征激光反射镜的损耗是保证激光系统达到预期通量的关键。

图 1: 光腔衰荡光谱法测量谐振腔的强度衰减率,与仅测量强度值的技术相比,它具有更高的测量精度

腔内激光脉冲强度 (I) 描述为:

I0是激光脉冲的初始强度,τ是透射、吸收、散射导致的腔镜总损耗,t 是时间,c 是光速,L 是光腔的长度。

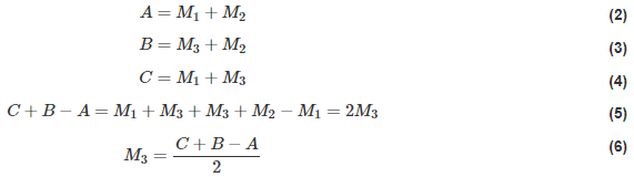
CRDS 中确定的值是整个光腔的损耗。因此,要确定一个反射镜的损耗,需要进行多次测试。使用两个参考镜进行初始测量 (A),然后再进行两次测量:一次使用测试镜 (B) 替换一个参考镜,另一次使用测试镜 (C) 替换另一个参考镜。这三个测量值用于确定测试镜的损耗。

M1 和 M2 是两个参考镜的损耗,M3 是测试镜的损耗。光腔中的空气损耗被认为是可以忽略的。CRDS 是表征反射激光光学性能的理想技术,因为它更容易准确测量少量损耗,而不是较大的反射率(表 1)。镀有增透膜的透射元件也可以测试,方法是将其插入谐振腔并测量相应损耗增加。CRDS 须在洁净的环境中小心进行,因为反射镜上或光腔内部的任何污染都会影响损耗测量。

表 1: 通过 ±0.1% 的不确定性直接测量反射镜反射率的灵敏度比通过 ±10% 的不确定性测量反射镜的损耗高两个量级。这说明高反射率反射镜的损耗测量要比反射率测量准确得多

 

原子力显微镜

原子力显微镜 (AFM) 是为表面形貌提供原子分辨率的技术(图 2)。使用极小且尖锐的探针在样本表面进行扫描,生成表面三维重建。探针附着在一个矩形或三角形的悬臂上,悬臂与显微镜头的其余部分相连。悬臂的运动由压电陶瓷控制,保证了悬臂在亚纳米级分辨率下的三维定位。1

在激光光学中,AFM 主要用于计算光学元件的表面粗糙度,由于粗糙度通常是散射的主要来源,因此它可能会显著影响激光光学系统的性能。AFM 可以提供几埃的表面三维图。2

图 2: 使用原子力显微镜捕获光栅的形貌图

探针在与系统保持持续接触(称为接触模式)或与表面保持间歇接触(称为轻敲模式)时扫描整个样本。在轻敲模式下,悬臂以其谐振频率振荡,在振荡周期内,探针只与表面接触较短时间。接触模式比轻敲模式更简单,能更准确地重建表面。不过,该模式在扫描过程中损伤表面的可能性更大,探针磨损更快,导致针尖寿命更短。在这两种模式下,激光从悬臂顶部反射到探测器上。样本表面的高度变化使悬臂发生偏转,改变了激光在探测器上的位置,生成了表面高度图(图3)。

图 3: 原子力显微镜轻敲模式工作原理图

探针的形状和组成对 AFM 的空间分辨率发挥关键作用,应根据需要扫描的样本进行选择。针尖越小、越尖锐,横向分辨率越高。不过,与大针尖相比,小针尖的扫描时间更长,成本更高。

对针尖与表面距离的控制决定了 AFM 系统的垂直分辨率。机械和电气噪声限制垂直分辨率,因为无法解析小于噪声水平的表面特征。3 针尖与样本之间的相对位置也对 AFM 组件由于热变化而膨胀或收缩敏感。

AFM 是一项耗时的计量技术,主要用于流程验证和监控。通过这项技术测量一小片面积约为 100μm x 100μm 的样本表面,以提供具有显著统计学意义的整个制造流程的代表。

 

微分干涉差显微镜

微分干涉差 (DIC) 显微镜用于透射材料的高灵敏度缺陷探测,特别是用于识别光学镀膜和表面的激光损伤(图 4)。传统的亮场显微镜很难观察到这些特征,因为样本是透射型,但 DIC 显微镜通过将光程长度的梯度从折射率、表面坡度或厚度的变化转化为平面上的强度差异来提高对比度。利用改进的对比度对斜坡、峰谷和表面不连续性成像,以展示表面的轮廓。DIC 图像表现为与样本光程长度变化相对应的三维起伏。然而,这种三维模型的出现不应被解释为样本的实际三维模型。

图 4: 使用 DIC 捕获激光有道损伤的图像显微镜

DIC 显微镜使用偏振镜和双折射的渥拉斯顿或诺玛斯基棱镜将光源分离成两个正交偏振光(图 5)。物镜将这两个器件聚焦到样本表面,而样本表面的位移距离等于显微镜的分辨率。经过准直透镜准直后,再用另一个渥拉斯顿棱镜将这两个器件重新组合。然后合束光再通过后者偏振片(也被称作分析器),该偏振方向与前者偏振片垂直。由于两个器件的光程长度的不同而产生的干涉会导致可见亮度发生变化。

图 5: 典型的 DIC 显微镜装置,其中通过渥拉斯顿棱镜将输入光束分成两种偏振态

与其他显微镜技术相比,DIC 显微镜的一个局限性是成本增加。用于分离和重组不同偏振态的渥拉斯顿棱镜比显微镜(如相位对比度或霍夫曼调制对比显微镜)所需的组件更昂贵。4

 

干涉测量

干涉仪利用干涉测量小位移、表面不规则性和折射率变化。它们可以测量表面不规则 <λ/20,并且可以给平面镜、球面透镜、非球面透镜和其它光学器件提供认证。

当多个光波叠加在一起形成一个新的图案时,就会形成干涉。要形成干涉,多个光波须在相位上是相干的,并且具有非正交偏振态。5 如果波谷或低点对齐,就会导致相长干涉,并提高它们的强度;如果一个光波的波谷与另一个光波的波峰对齐,就会导致相消干涉,并相互抵消(图 6)。

图 6: 相长干涉(左)和相消干涉(右)图解,在干涉测量法确定表面图形

干涉仪使用分束器将来自单一光源的光线分成测试光束和参考光束。光束在到达光探测器之前被重新组合,这两条路径之间的任何光程差都会产生干涉。这样就可以将测试光束路径中的光学元件与参考光束中的参考元件进行比较(图 7)。这两条路径之间的相长干涉和相消干涉会产生可见干涉条纹的图案。反射和透射光学元件都可以通过将透射或反射波前与基准进行比较来测量。

图 7: 干涉仪的样本图像,显示测试和参考光束进行相长干涉的明亮区域和进行相消干涉的暗环(左),以及测试光学元件的三维重建结果(右)

有几种常见的干涉仪配置(图 8)。马赫-曾德尔干涉仪利用一个分束器将输入光束分离成两条不同的路径。后者分束器将这两条路径重新组合成两个输出,然后发送到光电探测器。迈克耳逊干涉仪使用一个单波束分离器来分割和重组光束。迈克耳逊干涉仪的一种变体是特曼-格林干涉仪,它以单色点源作为光源来测量光学元件涉仪通过使用两个平行的部分透明反射镜,而不是两个分离的光束路径来实现光的多次往返。

图 8: 各种常见的干涉仪配置

除了正在测试的光学元件外,构成干涉仪的光学元件上的灰尘颗粒或缺陷也会导致光程差,这可能被误认为光学元件上的表面缺陷。干涉测量法要求对光束路径进行准确控制,测量也可能受激光噪声和量子噪声影响。

 

Shack-Hartmann 波前传感器

Shack-Hartmann 波前传感器 (SHWFS) 测量具有高动态范围和精度的光学元件或系统的透射和反射波前误差。SHWFS 由于易于使用、响应速度快、成本相对较低以及能够处理非相干光源而变得非常流行。

光波的波前是光波在其上具有恒定相位的表面。波前垂直于传播方向,因此准直光具有平面波前,汇聚或发散光具有弯曲波前(图 9)。光学元件中的畸变会导致波前误差,或透射或反射波前畸变。通过分析透射和反射波前误差,可以确定光学元件的像差和性能。

图 9: 准直的光具有平面波前。在无像差透镜后发散或汇聚的光将具有球形波前

SHWFS 利用一组具有相同焦距的微透镜(或称小透镜),将部分入射光聚焦到探测器上。探测器分为几个小扇区,每个微透镜有一个扇区。平面入射波前会产生一个与微透镜阵列的中心到中心间距相同的焦点网格。如果在 SHWFS 上发生了具有波前误差的畸变波前,则探测器上的焦点位置将发生变化(图 7.10)。焦点的偏移、变形或强度损失决定了每个微透镜的波前局部倾斜。离散倾斜可以用来重建完整的波前。

 

图 10: 进入 SHWFS 的光中出现的任何波前误差都会导致探测器阵列上的聚焦点位置位移

与干涉测量法相比,SHWFS 的一个优点是动态范围基本上与波长无关,因此更加灵活。不过,SHWFS 的动态范围受分配给每个微透镜的探测器扇区限制。每个微透镜的焦点应至少覆盖其各自扇区上的 10个像素才能实现重建波前。焦点覆盖的探测器面积越大,SHWFS的灵敏度就越高,不过需要将其与更短的动态范围进行权衡。一般情况下,微透镜的焦点不应超过探测器扇区的一半;这保证了灵敏度和动态范围之间的合理折衷。6

提高阵列中的微透镜数量可以实现空间分辨率提高、微透镜光圈的波前斜率平均性降低,不过,分配给每个微透镜的像素会更少。较大的微透镜可以更灵敏、更准确地测量缓慢变化的波前,但可能无法对复杂的波前进行足够的采样,构建波前信息要通过人为拟合实现。7

 

分光光度计

分光光度计测量光学元件的透射率和反射率,是表征光学镀膜性能的关键(图 7.11)。典型的分光光度计由宽带光源、单色仪和探测器组成(图 7.12)。来自光源的光被发送到单色仪的入口狭缝处,并在该处使用衍射光栅或棱镜等色散元件将其分割成它的组成波长。单色仪的出口狭缝会阻挡除了通过狭缝的窄波段以外的所有波长,该窄波段将为测试光学元件照明。改变衍射光栅或棱镜的角度,就会改变通过出口狭缝的波长,从而控制测试波长。然后,通过测试光学元件反射或透射的光将被打到探测器上,以确定该光学元件在给定波长下的反射率或透射率。

图 11: 使用分光光度计捕获的 TECHSPEC® 准分子激光镜样本反射率光谱

图 12: 分光光度计的测试波长可以通过调整单色仪中衍射光栅或棱镜的角度进行微调

光源须非常稳定,并且在各种波长范围内具有足够的强度,以防止误读。钨卤素灯是分光光度计常用的光源之一,具有使用寿命长、亮度恒定等优点。8

单色仪狭缝宽度越小,分光光度计的光谱分辨率越高。但是,减小狭缝宽度也会降低透射功率,并且可能增加读数获取时间和噪声量。5

光光度计中使用的探测器种类繁多,不同的探测器更适合不同的波长范围。光电倍增管 (PMT) 和半导体光电二极管是常用的紫外、可见光和红外探测器。8 PMT 利用光电表面实现其他探测器类型无法实现的灵敏度。光入射到光电表面时,光电子被释放出来,并继续释放其他二次电子,从而产生高增益。PMT 的高灵敏度适用于需要低强度光源或高精度光源的情况。雪崩光电二极管等半导体光电二极管是较便宜的 PMT 替代品;不过,与 PMT 相比,它们的噪声更多、灵敏度更低。

虽然大多数分光光度计是为紫外线、可见光或红外光谱设计的,但一些分光光度计用于要求更加严苛的光谱区域,如波长在 10-100nm 的极紫外 (EUV) 光谱。EUV 分光光度计通常使用具有极小光栅间距的衍射光栅来有效地分散入射 EUV 辐射。

参考文献

  1. Hinterdorfer, Peter, and Yves F Dufrêne. “Detection and Localization of Single Molecular Recognition Events Using Atomic Force Microscopy.” Nature Methods, vol. 3, no. 5, 2006, pp. 347–355., doi:10.1038/nmeth871.
  2. Binnig, G., et al. “Atomic Resolution with Atomic Force Microscope.” Surface Science, vol. 189-190, 1987, pp. 1–6., doi:10.1016/s0039-6028(87)80407-7.
  3. Dr. Johannes H. Kindt. “AFM enhancing traditional Electron Microscopy Applications.” Atomic Force Microscopy Webinars, Bruker, Feb. 2013.
  4. Murphey, Douglas B, et al. “DIC Microscope Configuration and Alignment.” Olympus.
  5. Paschotta, Rüdiger. Encyclopedia of Laser Physics and Technology, RP Photonics, October 2017, www.rp-photonics。。com/encyclopedia.html.
  6. Forest, Craig R., Claude R. Canizares, Daniel R. Neal, Michael McGuirk, and Mark Lee Schattenburg. "Metrology of thin transparent optics using Shack-Hartmann wavefront sensing." Optical engineering 43, no. 3 (2004): 742-754.
  7. John E. Greivenkamp, Daniel G. Smith, Robert O. Gappinger, Gregory A. Williby, "Optical testing using Shack-Hartmann wavefront sensors," Proc. SPIE 4416, Optical Engineering for Sensing and Nanotechnology (ICOSN 2001), (8 May 2001); doi: 10.1117/12.427063.
  8. Wassmer, William. “An Introduction to Optical Spectrometry (Spectrophotometry).” Azooptics.com.

PA视讯

地址:江苏省江阴市人民东路1091号1017室 传真:0510-68836817 Email:sales@rympo.com
24小时在线客服,为您服务!

版权所有 © 2025 江阴PA视讯光电技术有限公司 备案号:苏ICP备40959605号-1 技术支持:化工仪器网 管理登陆 GoogleSitemap

在线咨询
QQ客服
QQ:17041053
电话咨询
0510-68836815
关注微信
PA视讯


网站地图