确定连续激光器损伤阈值的挑战
使用环境对连续波(CW)激光损伤阈值的影响比对脉冲激光系统的影响更大,因此CW激光系统用户需要更加谨慎。CW激光器的损伤阈值通常规定为在给定波长下测量的线性功率密度。用户不应过于依赖光学元件的指/定CW损伤阈值,而不首先考虑可能改变该值的许多参数:激光功率、光束直径和环境测试条件等。
定义与区别:
ISO标准将激光诱导损伤阈值(LIDT)定义为“光学器件推测的损伤概率为零的最高激光辐射量 "。脉冲激光和连续激光的工作方式不同,因此表现出不同的损伤机制。脉冲LIDT是通过单次或多次发射测试来测试的,而CW LIDT是通过将光学器件暴露于激光的恒定通量下一定时间来测试的。脉冲激光损伤,通过纳秒到飞秒范围内的曝光时间来测量,通常由电场或机械应力损伤引起。大于100皮秒的脉冲持续时间通常导致常规熔化。CW激光损伤是由光学器件中的热诱导应力引起的加热或机械故障引起的。因此,暴露时间以微秒计的准CW激光损伤是由电场和热损伤的组合引起的。
指/定和测试CW LIDT的独/特挑战
使用CW激光器的损伤阈值测试提出了在脉冲激光损伤测试中不存在的挑战。CW测试需要考虑的一些主要参数包括暴露时间、光束直径、结构材料、样品上的缺陷和安装选择。还应考虑环境条件,特别是光学器件上方的任何气流。
曝光时间是所考虑的光学器件受到激光功率作用的时间间隔。CW激光损伤测试的暴露时间大于1秒,但通常为每个测试位置5秒至1分钟,或直到样品失效。与暴露时间相关的另一个考虑因素是每次测试之间的休息时间。如果没有给予样品足够的时间进行热“松弛",则下一次对样品的曝光将比上一次更困难。这在某种程度上与脉冲激光重复率有关,尽管在更长的时间尺度上。这在现实世界中提供了更多的不确定性。用户需要多长时间才能恢复光学部?这段休息时间确实可以制造或破坏视觉。
光束将与之相互作用的缺陷数量将由选择用于测试的光束直径决定。了解镜片表面上或表面下的任何缺陷是很重要的。缺陷可以是表面下的损伤,如裂纹或凹槽,也可以是表面的缺陷,如涂层的缺陷或光学器件上的污染物。涂层损坏通常是由于表面上的灰尘或划痕容易吸收造成的。表面上足够的能量吸收会导致涂层分层。本质上,光束遇到的缺陷越多,损伤阈值就越低。

图1:由不同根本原因导致的激光诱导损伤的各种形态。
基底材料的导热性和吸收性决定了热量在整个光学器件中分布的轮廓。例如,硅和锗透射光学器件通过红外(IR)光但不通过可见光,这导致在第一表面上的吸收。然后,该第一表面吸收引起光学器件表面上的温度升高,这又引起相当大的温度梯度。温度梯度的大小可以决定样品是否会有损伤。因此,在CW激光测试期间,经常使用具有高反射涂层的光学器件,因为它们能够将一些热量从光学器件反射出去。
样品的安装方式是另一个需要考虑的重要参数。有时,机械应变可以由支架引入,这可以增加来自激光吸收的热应变的影响。样品是否用胶水固定也会影响热量如何在整个光学器件中传递。此外,安装选择引入了通过对流冷却的可能性,这是由于空气流过样品的结果。热沉的存在以及它如何有效地吸收来自光学器件的辐射可以显著地增加样品的损伤阈值。
缩放连续波损伤阈值:
斯林克等人的研究(2019),将CW激光诱导的损伤直接与由于吸收导致的光束中心的光学表面温度升高相关联。对于准连续和连续激光系统,热扩散方程能够预测和标定激光损伤阈值。在模拟高反射光学器件的损伤阈值时,考虑了两种情况:泛光照明和光斑照明。泛光照明被认为是具有安装在散热器上的探测器的薄反射光学器件的大照明区域。点照明是相对于独立式反射光学器件的厚度的小照明区域。
如果忽略每个表面上的对流和辐射,则梁中心表面上的温升随时间(t)的变化可由下式确定:
(1)
(1.1)
(1.2)
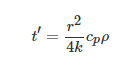
特征时间:
(2)
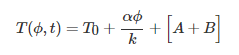
其中,T0是样品的初始温度,α是照射波长下的吸收率分数,ϕ是线性功率密度,K是基底的热导率,ρ是样品密度,R是样品的半径,CP是比热容
.
损伤阈值告诉我们光学器件在一定量的激光辐射下失效的可能性。对于CW激光器,该阈值可以被认为是线性功率密度ϕDT
,其已经被证明随着曝光时间的增加而降低。当忽略环境因素时,作为暴露时间的函数的线性功率密度的最小值可以通过设置T等于失效或临界温度TC来求解,并求解ϕ:
(3)
在这些条件下,破坏样品所需的激光功率是恒定的线性功率密度。此外,ISO标准指示线性功率密度而不是辐照度的缩放。或者,考虑到环境测试条件,对于独立式反射光学器件,表面上的温度随时间的升高(t)为:
(4)
(4.1)
特征时间:
(5)
其中T0是样品的初始温度,Tair是样品周围空气的温度,L是样品厚度,I是辐照度
,α是辐射波长下的吸收率分数,t是曝光时间。在上述两个方程中,Heff是有效对流系数——对流和辐射贡献的总和。考虑到样品的两个表面,该系数加倍仍然记住环境条件,在光学器件上有大量气流和来自光学器件表面的辐射的情况下,可以通过下式计算损伤阈值辐照度:
(6)
该损伤阈值辐照度降低到最小值:
(7)

图2:在两种测试条件下,辐照度随暴露时间的增加而增加-最终显示测试期间气流对样品的影响。

图3:暴露于准CW和CW激光的样品的损伤阈值随着光束直径和暴露时间的增加而降低。
结论
对于所考虑的所有光束直径,暴露于准连续和连续激光的样品的损伤阈值随着光束直径和暴露时间的增加而降低。光束越大,就越有可能在光学器件上遇到多个缺陷,从而降低损伤阈值。热量在样品中扩散的方式取决于所用基底的尺寸和热容。在样品上方有高速气流的条件下,光学器件表面的温度大大降低,因此,损伤阈值比未冷却的光学器件高得多。
确定CW激光系统的激光损伤阈值最困难的部分是在可再现的条件下测试样品。不同的应用需要不同的激光功率、光束直径和其他有用的参数,并且不是每个用户都能够重新创建测试光学器件的环境。安装、静止时间、环境条件和几个其他参数可以改变光学器件的损伤阈值。本文中提到的各种测试条件为确定CW LIDT带来了挑战。
版权所有 © 2025 江阴PA视讯光电技术有限公司 备案号:苏ICP备40959605号-1 技术支持:化工仪器网 管理登陆 GoogleSitemap